海南所有高中录取分数线 海南各高中录取分数线2021

海南高中录取分数线
备注:2022年分数线7月19日后陆续公布!
2021年分数线
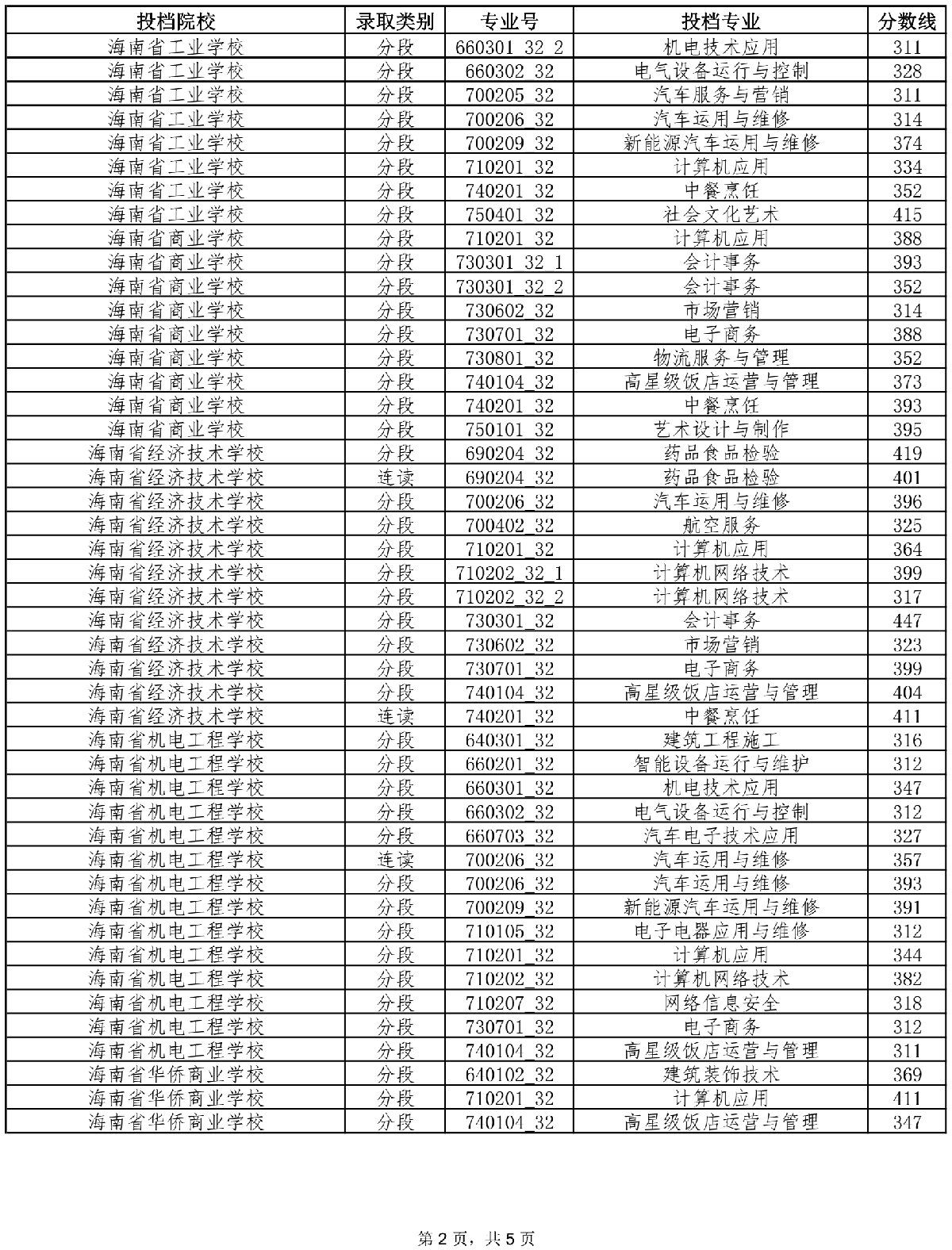
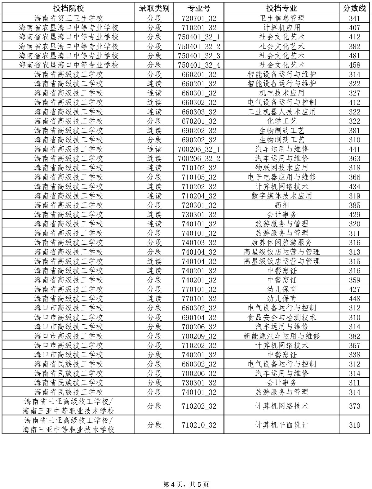
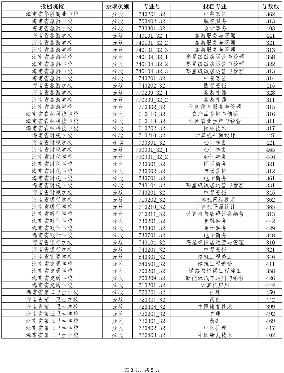
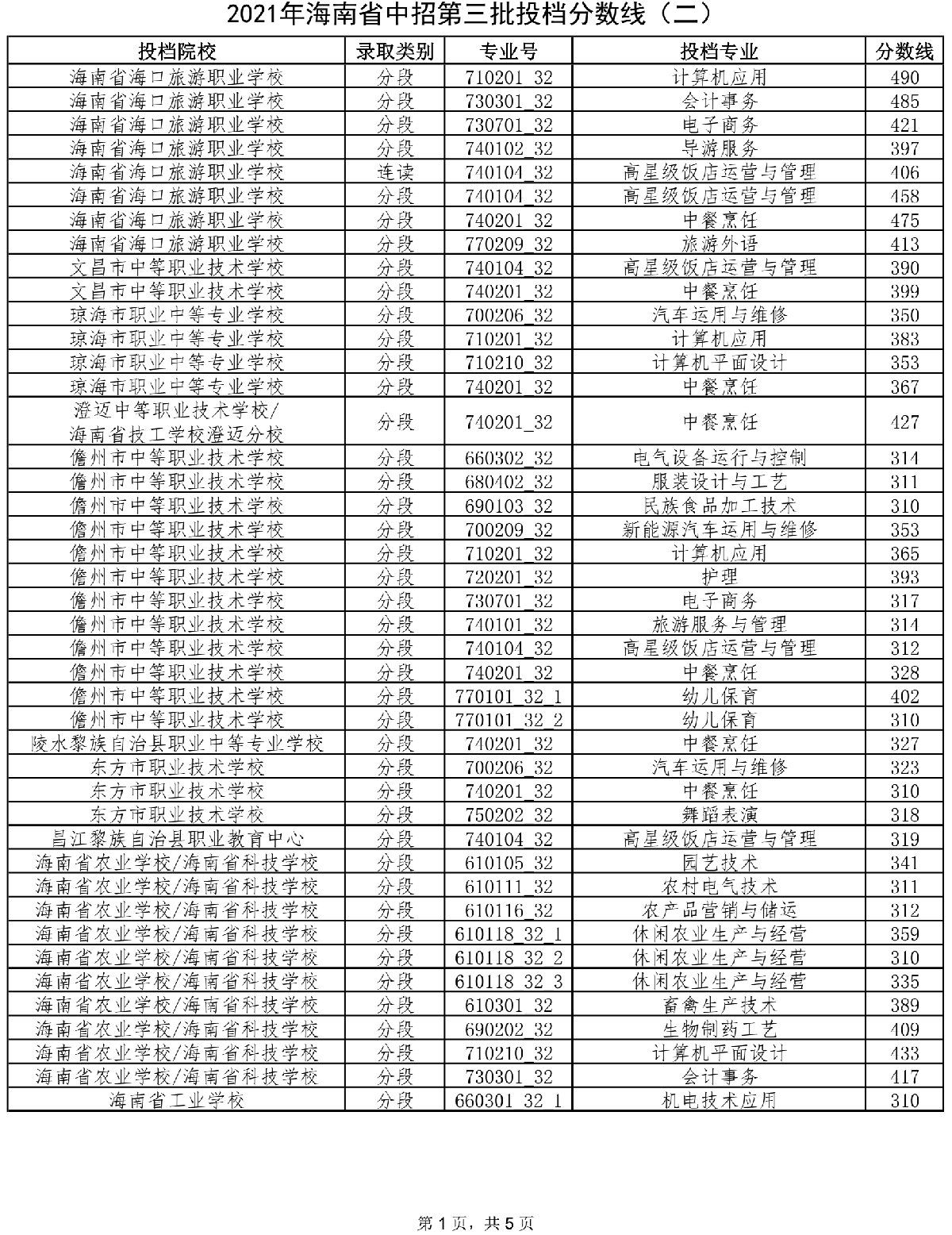
1、中等学校招生提前批投档分数线(一)
中招第一批(B段)投档分数线
2021年海南省普通高中学校录取最低控制分数线
一、在少数民族聚居市县(含汉族地区少数民族聚居乡镇)初中学校毕业的考生为360分。
二、在汉族地区初中学校毕业的考生为410分。
各普通高中学校录取考生必须严格执行以上最低控制分数线(特长生除外),省中招办将通过技术手段监控并限制低于最低控制分数线的考生 在中招录取管理系统上进行录取,违规入读的不予办理学籍。
附:少数民族聚居市县及汉族地区少数民族聚居乡镇初中学校一览
