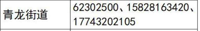
成华区青龙街道服务电话(成华区青龙场街道)

青龙街道:

2022年7月29日0时起,成都市成华区新冠肺炎疫情防控指挥部关于全面加强社会面管控的通告实施,暂定实施5天,后续将根据疫情进展和防控需要作动态调整。
市民群众如有需要,请致电12345市长热线或所在街道公开服务电话。
因小区封控,家里有小孩高烧需要急诊、老人重病需要急诊怎么办?
A
在封管控区内,建立有临时医疗点、上门服务、互联网医疗服务和转运服务等工作机制。临时医疗点工作人员为封管控区内居民提供健康监测、上门送药等服务。封管控区内的危急重症患者,经临时医疗点医护人员初诊评估确需进一步治疗的,由转运团队转运至定点医疗机构就医。
